Crisi Covid19: il Principato di Monaco rilancia ed scommette sul futuro
Il Governo di Monaco, rispetto a quello francese o italiano, si distingue per due particolarità: non ha alcun debito pubblico e basa il suo modello economico su una preziosa Riserva Costituzionale dotata di diversi miliardi di euro impiegati, anche in passato, per far fronte a inedite crisi economiche come quella provocata dall’emergenza sanitaria del coronavirus.

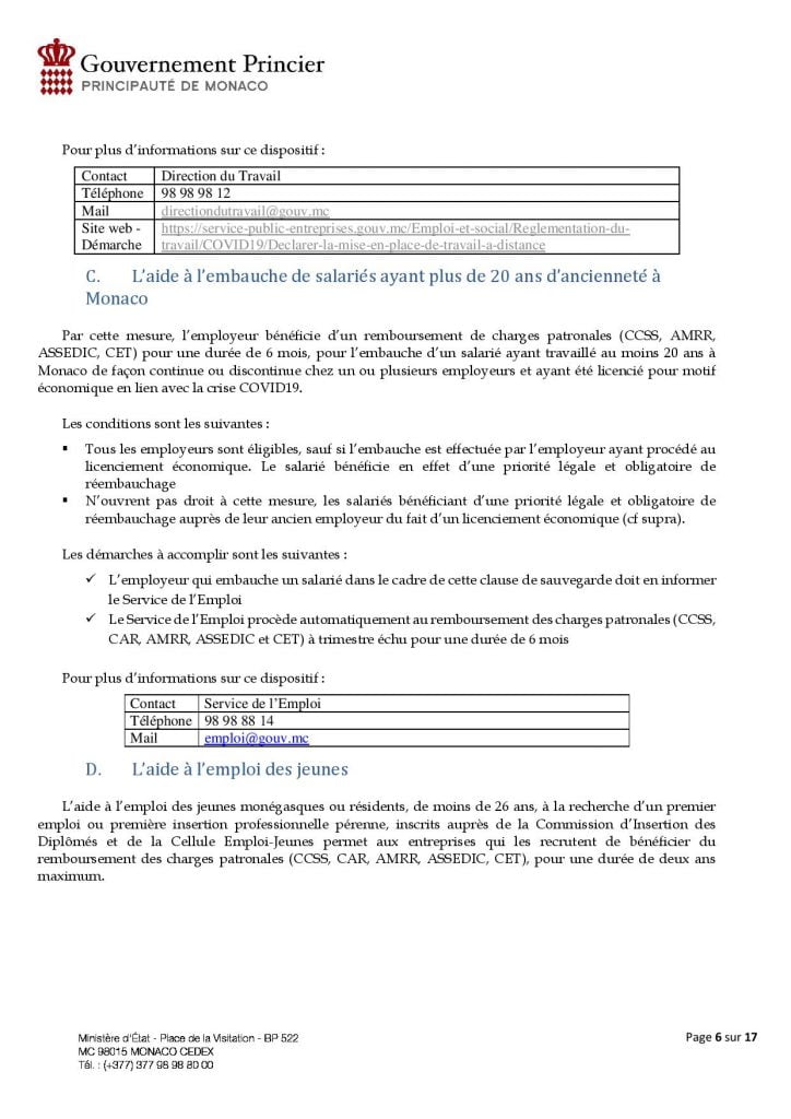
Come altrove, anche a Monaco il sistema che alimentava il lavoro e lo sviluppo economico è messo a dura prova da un nemico invisibile, un virus che continua a circolare e che riesce difficile da isolare. La malattia che provoca, la Covid19, ha costretto i governi di tutto il mondo a adottare varie misure sanitarie rese obbligatorie che hanno impattato pesantemente sul bilancio di aziende, negozi e turismo, senza contare il numero di eventi che, a causa della difficoltà negli spostamenti, non aveva senso mantenere. Tutto questo ha inciso negativamente anche sull’economia delle imprese di un paese come Monaco che, per la prima volta nella sua storia, si è trovato di fronte ad un gran numero di licenziamenti all’interno del gruppo SBM che gestisce i Casinò e diversi alberghi del Principato, ma anche alla richiesta di soccorso da parte delle società impossibilitate a lavorare. Il Governo di Monaco, in maniera pragmatica, è immediatamente intervenuto concedendo alle aziende, ove possibili, di far ricorrere al telelavoro ai propri dipendenti non solo monegaschi ma anche ai pendolari italiani e francesi; alla creazione di una sorta di cassa-integrazione sostenuta dallo stato ed a tutta una serie di manovre e sovvenzioni a fondo perduto fin dal mese di marzo, seguendo la volontà del Sovrano. Per il suo Governo ed il Consiglio Nazionale di Monaco, lo scopo era ed è ancora quello di non lasciare nessuno abbandonato a se stesso. Purtroppo però, il contraccolpo dato anche da una stagione estiva inedita, con il tempo, si sta facendo sentire. Licenziamenti, aziende e negozi chiusi sono state tra le inevitabili conseguenze data dalla mancanza di clienti e turisti che hanno da sempre contribuito a dinamizzare il commercio locale. In questo senso va dunque accolto con entusiasmo il nuovo ‘Piano d’accompagnamento’ affinato nelle procedure e nei termini, presentato ufficialmente alla stampa mercoledì 14 ottobre dal Ministro di Stato Pierre Dartout, affiancato dai Consiglieri-Ministri della Sanità (Didier Gamerdinger) e delle Finanze (Jean Castellini) e dalla direttrice di Monaco Welcome, Laurence Garino.
Le proposte, intese come un invito al rilancio ma anche di stimolo al commercio locale, sono di varia natura e s’indirizzano ai privati, con aiuti alle ristrutturazioni di alloggi o per l’acquisto di mezzi ad energia verde ad esempio (ne avevamo già parlato in un articolo accessibile cliccando qui) ma anche ai dipendenti ed alle imprese monegasche. Oltre alle specificità dei fondi ,dotati di decine di milioni messi a disposizione dal Governo di Monaco, identificati da un colore per ogni settore trattato, è stato evidenziato nella riunione di mercoledì quello dedicato al rilancio economico locale. Etichettato come ‘Fondo Rosso e Bianco’ (è evidente il riferimento alla bandiera di Monaco), al suo interno si trovano molte iniziative ed il lancio di un’app, battezzata Carlo (il progetto ha vinto nel 2018 il concorso di creazione d’Impresa della JCEM, n.d.r.) che ora è stata presa in carico dall’incubatore Monacotech. Basata sul principio del cashback, gli acquirenti che ne fanno uso possono impiegarla nei negozi monegaschi e, in cambio, usufruire di numerosi vantaggi e sconti. Analizzeremo nel dettaglio ‘Carlo’ uno dei prossimi articoli. Inoltre, tra le novità illustrate dalla direttrice Garino, anche il parcheggio gratuito per 4 ore offerto a chi si reca nel Principato per fare shopping -minimo di 50 euro di spesa cumulabili in giornata – e la messa a disposizione di un taxi per rientrare a casa (a Monaco, ovviamente) se si consuma una cena presso i ristoranti convenzionati. Per saperne di più di tutte queste novità ma, soprattutto, per sapere a chi indirizzare chiaramente le domande per avere fondi e sovvenzioni statali, è stato creato un vademecum digitale – probabilmente anche cartaceo per gli over 65 che ne facciano richiesta – pubblicato sul sito accessibile cliccando qui .L’obiettivo, per tutti, è quello di essere informati e poter immaginare di potersi proiettare verso un futuro più roseo non appena questa crisi sanitaria sarà risolta, come recita il nuovo claim a questa campagna d’informazione intitolata ‘Du soutien à l’accompagnement, de l’accompagnement à la relance‘.
QE-MAGAZINE è il primo ed unico settimanale – ed ora mensile – digitale in italiano del Principato di Monaco Facebook, Instagram e Twitter) che propone anche una versione stampabile del magazine digitale ESCLUSIVAMENTE agli abbonati che ne facciano richiesta. Da seguire anche i video del canale YOUTUBE MonteCarloBlog





















